Notice
Recent Posts
Recent Comments
Link
일 | 월 | 화 | 수 | 목 | 금 | 토 |
---|---|---|---|---|---|---|
1 | 2 | 3 | 4 | |||
5 | 6 | 7 | 8 | 9 | 10 | 11 |
12 | 13 | 14 | 15 | 16 | 17 | 18 |
19 | 20 | 21 | 22 | 23 | 24 | 25 |
26 | 27 | 28 | 29 | 30 | 31 |
Tags
- 운동
- 데드리프트
- 개인 PT
- 덤벨운동
- 코드
- 개발자
- 프로그래머스
- 바프준비
- 체스트프레스
- 연구 시작
- pytorch
- 라섹 수술 후기
- 개인 피티
- 논문 리뷰
- github
- 하체운동
- 건강
- 디버깅
- 코딩테스트
- 다이어트
- 암풀다운
- 바디프로필
- Knowledge Tracing
- PT 운동
- 영화 비평
- 코테준비
- 티스토리챌린지
- 오블완
- 코테 공부
- 개인 운동
Archives
- Today
- Total
치즈의 AI 녹이기
Gumbel softmax vs Softmax with temperature 본문
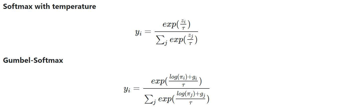
공통적인 특징: temperature 값이 0에 가까울수록 one-hot vector가 추출됨.
그러나 temperature 값이 0에 가까울수록 gradient값이 커지는 현상이 있어서, 초기 학습에서는 큰 값으로 학습했다가 점점 값을 줄이는 방향으로 진행함.
Gumbel softmax 사용 용도 : a technique that enables us to sample discrete random variables, in a way that is differentiable (and therefore suited for end-to-end deep learning).
Gumbel-Softmax trick vs Softmax with temperature
From what I understand, the Gumbel-Softmax trick is a technique that enables us to sample discrete random variables, in a way that is differentiable (and therefore suited for end-to-end deep learni...
datascience.stackexchange.com
'인공지능 대학원생의 생활 > 구글링' 카테고리의 다른 글
How to Detach specific components in the loss? (0) | 2022.04.03 |
---|---|
GAN 이해하기 (0) | 2022.03.22 |
[GIT] 다른 branch 간 비교 파일 목록 (1) | 2022.01.19 |
Kill Nvidia GPU process with PID in Ubuntu (0) | 2021.12.28 |
[GIT] remote: Invalid username or password. fatal: Authentication failed (1) | 2021.12.20 |